最新显卡性能排行解析:2019年GTX天梯图助你轻松对比显卡表现
- 问答
- 2025-10-20 02:12:37
- 24
哎,说到2019年的显卡市场,现在回想起来还挺有意思的,那时候,NVIDIA的20系显卡已经铺开一阵子了,AMD那边呢,还在用Vega和Polaris架构苦苦支撑,直到年尾才悄悄露出RX 5000系列的苗头,现在让我硬生生去回忆那张“天梯图”,脑子里先蹦出来的不是冷冰冰的数据,反而是当时帮朋友装机时,对着电商页面纠结半天的场景——预算就卡在两千五左右,到底是选GTX 1660 Super还是多加几百块冲RTX 2060?这种头疼的感觉,比什么排行都真实。
那时候的“卡皇”当然是RTX 2080 Ti,这玩意价格高得离谱,简直像另一个世界的东西,我印象特别深,有个朋友咬着牙上了车,装好机后天天在群里晒光追效果,大多数时候帧数也就那样,但那种“我有你没有”的优越感,倒是拉满了😂,说实话,光追在2019年还是个新鲜玩意儿,支持的游戏掰着手指头数得过来,很多人买20系显卡,其实就图个DLSS的潜力,或者…单纯被那个“RTX ON”的营销给唬住了。

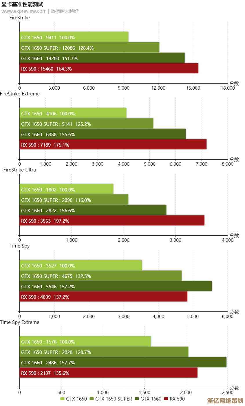
中端市场才是真的兵家必争之地,GTX 1660 Super,这卡真的是个甜点,性价比高到没朋友,它没光追,但传统游戏性能几乎摸到了GTX 1660 Ti的屁股,价格又香,我总觉得老黄出这卡,就是来清理库存兼打压AMD的,AMD那边呢?RX 5700和5700 XT其实性能不赖,驱动嘛…呃,怎么说呢,刚出来时确实有点闹心,蓝屏、黑屏的帖子那会儿可没少看,但后来慢慢更新,反而成了不少折腾党的心头好,毕竟A卡战未来嘛,这话不是白说的。
再往下看,GTX 1650这种卡,就特别适合那种“只要亮机就行”或者电源瓦数抠得死死的老机器升级,你说它性能多强?那真没有,但胜在省电、不挑食,我表弟那台老i5机器,换上去就能打打《英雄联盟》,他满意得不得了,有时候想想,显卡这东西,真不是越贵越好,合适才最重要。

现在回头看2019年的天梯图,感觉特别有时代感,那会儿大家争论的焦点是“光追有没有用”、“DLSS是不是黑科技”,现在呢?这些都快成标配了,而且当时的显卡价格,虽然也觉得贵,但跟后来矿潮时的疯狂比起来,简直是小巫见大巫…唉,不提了,都是泪。
所以啊,所谓的天梯图,说到底就是个参考,它告诉你大概的性能层级,但真到掏钱的时候,你得琢磨自己的显示器分辨率(那会儿2K刚普及,4K还是极少数人的玩具)、常玩的游戏类型、还有电源能不能扛得住,别人云亦云,也别被那些跑分数字牵着鼻子走,像我当时另一个朋友,非要追高端,买了张RTX 2070 Super,结果显示器还是1080P 60Hz,大部分性能都浪费了,这又何苦呢?
2019年那个节点,显卡选择开始变得复杂起来,光追、AI核心这些新东西加了进来,让人有点眼花缭乱,但核心没变:看懂自己的需求,在预算里找平衡点,那张天梯图,就当是个地图吧,路怎么走,还得你自己决定。🤑 省下那几百块钱,买个好的键盘鼠标,体验提升可能更直接呢。
本文由凤伟才于2025-10-20发表在笙亿网络策划,如有疑问,请联系我们。
本文链接:http://www.haoid.cn/wenda/33370.html
